当前位置:泰博医疗 > 泰博医疗 > 行业新闻 >

医药圈的“茅台股” 有的上市一年暴涨12倍

作者: 发布时间:2018-02-01 转至微博:

  医药网1月31日讯 在投资界时时刻刻都会有遗憾发生,经常有的人会扼腕,曾经看好过某股,却由于种种原因没有下手,直到后来,才追悔莫及。有些股票,你一旦持有,就很有可能走上人生的巅峰,发家致富不是梦,比如最近涨到700多元/股的茅台。
 
  其实,圈里也有这样的“茅台股”,上市后股价不断翻滚,最高涨幅高达2385.80%,有一只更是瞩目,上市才短短一年,股价翻了12倍。对于此,小编只想说,如果给我一次回到2017年年初的机会,我不但会买比特币和茅台股,下面这四家制药的股票小编也一定会满仓买买买……
 
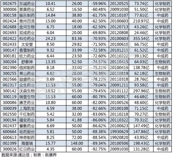
  新康界比较了200家A股上市制药企业的发行价和2018年1月29日收盘价(数据来源通达信),涨幅最高超20倍的分别是云南白药(2835.80%)、天目药业(2205.00%)、国农科技(2038.00%),涨幅超过1倍的共有72家企业,其中17年上市的有18家。1月29日收盘价低于发行价的有73家企业,跌幅最高的分别是红日药业(-92.75%)、海普瑞(-89.34%)、神奇制药(-88.54%)。
 
  下面,新康界将分析2017年上市,股价涨幅超5倍四家制药企业,看看他们有何潜力被投资者看好。
 
  康泰生物
 
  资料显示,康泰生物是一家位于深圳从事人用疫苗研发、生产和销售的公司,目前主要产品有重组乙型肝炎疫苗、b型流感嗜血杆菌结合疫苗、麻疹风疹联合减毒活疫苗、无细胞百日破b型流感嗜血杆菌联合疫苗等产品。
 
  2017年2月7日,康泰生物在深交所板上市,发行价为3.29元/股。1月29日收盘价格为45.64元/股,较发行价上涨了12.87倍,较上市首日开盘价4.35元/股的价格上涨了9.49倍。
 
  1月16日,康泰生物发布业绩快报称,公司2017年1-12月实现营业收入11.64亿元,同比增长110.95%,生物制品行业平均营业收入增长率为23.67%;归属于上市公司股东的净利润2.18亿元,同比增长152.32%,生物制品行业平均净利润增长率为13.38%。
 
  康泰生物称,这主要是由于疫苗行业复苏带来的市场机遇,公司乙肝疫苗、HIB疫苗和四联苗销量增加,随着修订后的《疫苗流通和预防接种管理条例》贯彻实施,产品销售价格提高,致使公司营业收入和利润规模实现增长。
 
  华森制药
 
  资料显示,华森制药是一家位于重庆从事中成药、化学药研发、生产和销售的制药企业,公司产品涵盖消化系统、精神神经系统、耳鼻喉科、心脑血管系统、免疫系统等多个用药领域,公司主要产品有威地美(铝碳酸镁片)、甘桔冰梅片、都梁软胶囊、长松(聚乙二醇4000散)、痛泻宁颗粒、八味芪龙颗粒、六味安神胶囊、融通(注射用阿魏酸钠)、注射用奥美拉唑钠、注射用甲磺酸加贝酯和注射用胞磷胆碱钠等,共取得批准文号68个,销售网络覆盖全国。
 
  2017年10月20日,华森制药在深交所中小板上市,发行价为4.53元/股。1月29日收盘价格为34.59元/股,较发行价上涨了6.63倍,较上市首日开盘价5.98元/股的价格上涨了4.78倍。
 
  从其招股说明书公布的数据看,最近几年,华森制药的营业收入都在直线上涨,2015年度以及2016年底的增长率为10.19%、17.55%;而净利润同样也有不俗的增长,2015年度以及2016年底的增长率为22.57%、31.67%。
 
  华森制药称,这主要是由于其重点产品在细分市场领域具备竞争优势,治疗常见病、多发病,产品生命周期长,安全有效,性价比高。并且,公司还拥有多个具备较强市场潜力的产品,在重点治疗领域形成中西药互补的发展态势。
 
  艾德生物
 
  资料显示,艾德生物是一家位于福建从事肿瘤精准医疗分子诊断产品的研发、生产及销售,并提供相关检测服务的生物制药公司。公司产品主要为肿瘤精准医疗靶向用药分子诊断试剂和肿瘤化疗用药分子诊断试剂两大类,用于检测肿瘤患者相关基因状态,为临床医生制定精准医疗治疗方案提供分子诊断的参考依据。
 
  2017年8月2日,艾德生物在深圳创业板上市,发行价为13.86元/股。1月29日收盘价格为100.90元/股,较发行价上涨了6.28倍,较上市首日开盘价16.63元/股的价格上涨了5.07倍。
 
  1月10日,艾德生物发布业绩预告,预计2017年实现盈利9300万至9800万元,比上年同期增长38.74%至46.19%。
 
  艾德生物称,业绩预增原因系报告期内公司主营业务得到持续稳定增长。此外,公司ROS1基因融合检测试剂盒获得日本厚生劳动省批准并进入日本医保支付,成为全球首个获批的克唑替尼伴随诊断试剂,海外市场拓展初显成效。
 
  普利制药
 
  资料显示,普利制药是一家位于海南从事药物研发、生产和销售的高新技术企业。公司主要产品为地氯雷他定分散片、地氯雷他定干混悬剂、地氯雷他定片、双氯芬酸钠肠溶缓释胶囊、克拉霉素缓释片、盐酸左氧氟沙星胶囊、阿奇霉素干混悬剂、马来酸曲美布汀片,主要集中在抗过敏、儿科、解热镇痛等领域。
 
  2017年3月28日,普利制药在深交所创业板上市,发行价为11.49元/股。1月29日收盘价格为72.20元/股,较发行价上涨了5.28倍,较上市首日开盘价13.79元/股的价格上涨了4.24倍。
 
  此前,普利制药公布2017年三季报,2017年前三季度公司实现营业收入1.98亿元,同比增长33.90%,实现归母净利润6052万元,同比增长45.94%,实现扣非后归母净利润5866万元,同比增长44.92%,实现稀释前EPS 0.54元。
 
  1月11日,普利制药披露2017年度业绩预告,公司预计2017年盈利9567万元-9825万元,比上年同期增长37%-41%。
 
  推测普利制药受投资者看中原因主要是因为其小品种注射剂较有优势。普利制药是排名居前的注射剂出口企业,主要有注射用阿奇霉素、注射用更昔洛韦钠、注射用泮托拉唑钠、依替巴肽注射液和左乙拉西坦注射液等品种。并且在国内申报注册中,由于受益于制剂出口,部分品种得以进入优先审评审批通道。
 
  普利制药的注射用阿奇霉素同步申报中国和美国注册,已于2015年10月获得美国FDA的暂时性批准,预计在2018年8月可在美国上市销售,并由此于2016年9月获得药品审评中心的优先审评审批资格,2017年8月7日该产品收到了CFDA下发的批件。上半年注射用阿奇霉素还获得欧盟注册受理。
 
  附:
 
  200家A股上市制药企业股价涨幅榜

关键词: 茅台股