当前位置:泰博医疗 > 泰博医疗 > 行业新闻 >

FDA2015年CDER创新药评审总结

作者: 发布时间:2016-01-11 转至微博:

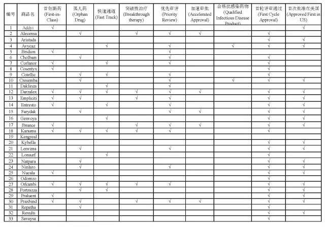
  医药网1月8日讯 2015年CDER创新药评审总结新鲜出炉,2015年CDER一共批准了45个创新药,是过去10年批准数最多的一年。其中首创新药16个,占了全部的36%;孤 儿药21个,再次突破4成比例;所有创新药中27个(60%)的研发和审评使用了FDA的加速途径(快速通道31%、突破性治疗22%、优先审评53%、 加速审批13%)。45个创新药中,只有6个药不是一轮审批通过,而首次上市在美国的药有29个(64%)。
 
 
  表:被批准的45个新药一览表
 
 

关键词: